Rada Gminy Czernica
Urząd Gminy
Sołectwa
Jednostki Organizacyjne Gminy
Prawo miejscowe
Raport o stanie gminy
Finanse
Przetargi
Petycje
Kontrole
Ogłoszenia i obwieszczenia
Wzory wniosków do pobrania
Rejestry
Oświadczenia majątkowe
Ekoportal
Wybory
Narodowy Spis Powszechny Ludności i Mieszkań 2021
Rejestr umów
Szukaj
Statystyki
Rejestr zmian
Instrukcja obsługi
Dostęp do informacji publicznej oraz informacji nieopublikowanej w BIPie
Ponowne wykorzystywanie informacji sektora publicznego
Gminna Rada Działalności Pożytku Publicznego w Czernicy
Konsultacje
Redakcja
Informacje dot. przetwarzania danych osobowych
Rejestr zmian
Treść archiwalna z dnia: 2006-03-16 10:23:10
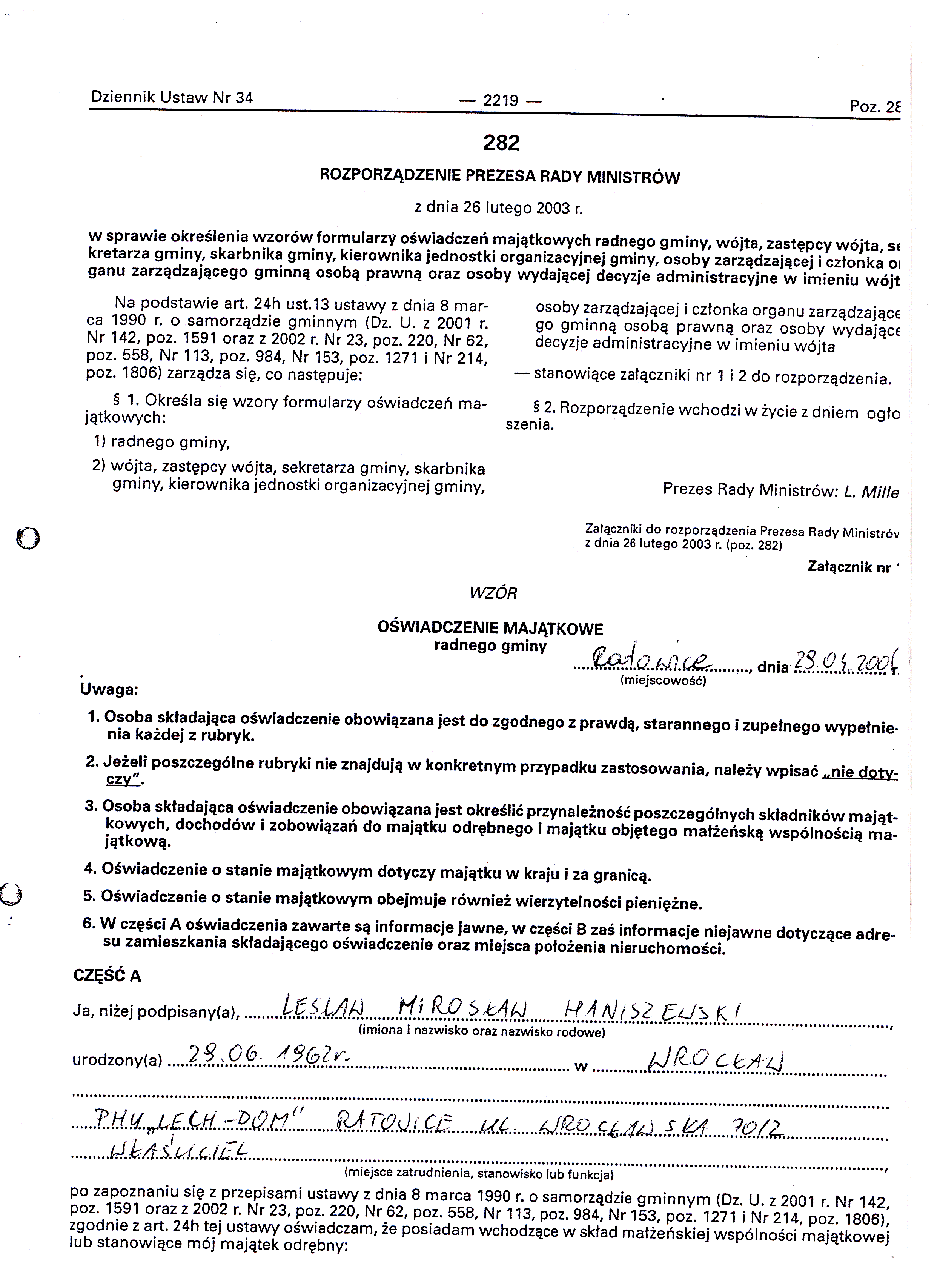
Oświadczenia majątkowe
Radny - Lesław Haniszewski - 2006-03-16
Lesław Haniszewski
hani1.gif (370.43 Kb)
««« powrót
IAP
Portal -.
(C)
opyright by
Interaktywna Polska
,
Polityka prywatności